-
Overview
• Xeno-Free Serum Substitute GMP
• Specifically formulated to support PBMC-derived T and NK cell expansion
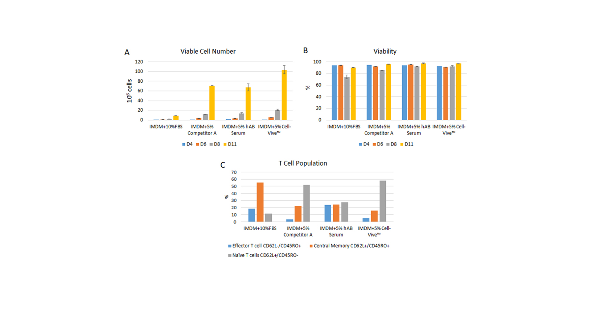
• Provide equal or higher specific cell numbers compared to the use of human AB serum
Applications
Xeno-free serum substitute
A xeno-free
Serum-free formulation
Cobmined with the basal media of choice, such as IMDM
Suitable for use in combination with several T cell activation methods
Able to support T cell populations (CD4, CD8) comparable to human AB serum
To increase naïve T cell numbers
For use in research and further manufacturing

